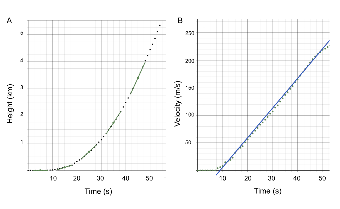
Mechanics Kinematics II: Velocity and acceleration in one dimension by Thomas Pasquini, Ph.D. Reading Quiz Teach with this Kinematics is the field of physics that studies _________. relationships between position, velocity, and acceleration. forces as the cause of motion. the transformation of energy in mechanical systems. the behavior of subatomic particles and their interactions. Physicists define a "reference frame" as __________. the origin and axes that are used to define motion. the physical object that is being observed during motion. a set of equations used to solve for unknown variables in motion. a visual diagram showing an object’s displacement over time. When a velocity is written as -25m/s, the "-" indicates that __________. The object is slowing down. The speed of the object is negative. The object’s mass is decreasing. The direction of the motion as the negative direction. The motion graph shows the position of an object at 0s, 2s, 4s, and 6s. Choose the best description of the motion of the object. The object has a positive velocity and zero acceleration. The object has a positive velocity and a positive acceleration. The object has a constant positive velocity and a positive acceleration. The object has a positive velocity and a negative acceleration. The figure shows a position vs. time graph (panel A) and a velocity vs. time graph (panel B) for the motion of the New Shepard rocket. Both graphs include lines showing an estimate of the slope. What is the meaning of the slope on each graph? The slope of both graphs show the velocity of the rocket. The slope of the position vs. time graph is the velocity of the rocket and the slope of the velocity vs. time graph is the acceleration of the rocket. The slope of the position vs. time graph is the position and the slope of the velocity vs. time graph is the acceleration. The slope of the position vs. time graph does not have a physical meaning because it is not constant. The slope of the velocity vs. time graph is the acceleration. When an object has a negative velocity and a negative acceleration, it would be observed to __________. move backwards with a speed that is increasing. move backwards with a speed that is decreasing. remain at rest. move forward with a speed that is increasing. A sprinter begins to accelerate at a rate of +6m/s2 from rest at a position of 0m. If she accelerates at this rate for 3s, how far will she travel? 9 m 18 m 27 m 36 m An astronaut experiences the sensation of weightlessness when in free-fall. This is because __________. there is no gravity in space. the astronaut's mass becomes zero in orbit. the astronaut is moving at a very high speed, which cancels gravity. the only force that they experience is the force of gravity, the same as their space capsule. An object that is launched into the air will stop and fall back down to the ground. Describe the acceleration of the object at the moment it stops and begins to fall. The object has zero acceleration because it is not moving. he acceleration increases as the object falls back down. The object’s acceleration depends on how fast it was thrown. The object will accelerate due to gravity at -9.8m/s2. For the motion shown in the graph, at what time could the object be described as having a positive velocity and a negative acceleration? At 1s. At 2s. At 4s. At 7s. Score Quiz